Tuning Journal for Higher Education

ISSN 2340-8170 (Print)

ISSN 2386-3137 (Online)

DOI: http://doi.org/10.18543/tjhe

Volume 11, Issue No. 1, November 2023

DOI: https://doi.org/10.18543/tjhe1112023

Educational Journeys in times of uncertainty: Weathering the storms

Articles

Analysis of Engineering students’ errors and misunderstandings of integration methods during the COVID-19

Fateme Moradi, Zahra Rahimi, and Zohreh Nekouee[*]

doi: https://doi.org/10.18543/tjhe.2434

Received: 3 May 2022
Accepted: 15 April 2023
E-published: November 2023

Abstract: The prevalence of the COVID-19 pandemic and its consequences, such as the closure of educational centers and the requirement to use virtual education, have all challenged students’ learning. Students’ mathematical misunderstandings can be regarded as one such challenge. While such problems may also occur in face-to-face training, where teachers and educators are involved, it seems that this problem is more serious in virtual education. The purpose of the present study was to investigate students’ misunderstandings in regard to integration methods. More specifically, the statistical population of this study consisted of engineering students from Islamic Azad University. The sample members included 40 students from the faculty of engineering who had been taught Mathematics1 by virtual education in the first semester of the academic year 2021-2022. To conduct this research, students were taught different methods of integration in cyberspace for six consecutive weeks. During these six stages, tests were conducted online to assess students. The results showed that most of the students’ errors were conceptual and computational in nature; they were rooted in no suitable understanding of the basic concepts of mathematics and the lack of good education in high school.

Keywords: Misunderstanding; mathematical misunderstanding; conceptual error; computational error; factual error; procedure error; integral.

I. Introduction

The global prevalence of COVID-19 has had consequences for various aspects of daily life, including education. This complicated situation has persisted in recent years, affecting teaching and methods (Tadesse and Muluye 2020), especially in areas such as mathematics. As a result, serious challenges have arisen.

In today’s world, mathematics plays a vital role in explaining different phenomena; therefore, understanding mathematical concepts, along with knowledge of facts and procedural skills, is an important part of mathematics education. Teachers often try to enhance learners’ understanding of various mathematical topics through various mathematical activities. Paying attention to learners’ misunderstandings is one of the methods recommended in this direction. Errors due to misconceptions, unlike errors attributed to carelessness, which are often cross-sectional, can lead to the formation of hidden perceptions and mistakes; they are even institutionalized in learners.

Most of these mistakes are repetitive; they are the result of learning some basic concepts and skills over the years. Repetition of such mistakes can disrupt their learning, ultimately discouraging them from learning (Iyer, Aziz, and Ojcius 2020; Voon, Julaihi, and Tang 2017; Dane, Çetin, Bas, and Sagirli 2016; Hashemi et al. 2015).

Therefore, identifying and correcting learners’ mistakes and misconceptions can increase their learning. This happens when good teaching can be provided by an experienced instructor, and misunderstandings can be clarified and emphasized during teaching (Smith, DiSessa, and Roschelle 1994). Their learning progress can be improved by correcting misconceptions, thus guaranteeing the strengthening of basic math skills. Most learners first make mistakes without understanding these misconceptions and then learn to correct them through open discussion (Askew and Wiliam 1995, as cited in Voon, Julaihi, and Tang 2017).

Misunderstandings can occur in all math subjects and at all levels of education. Differential and integral calculus can be regarded as one of the most important comprehensive programs of universities (Tall 2011). This subject, which is presented in Iranian universities as a unit Mathematics 1 for students, is one of the main basic courses in technical-engineering fields. Differential and integral calculus have a complex nature consisting of abstract ideas and concepts; therefore, many first-year students fail this course (Şahin, Yenmez, and Erbas 2015). The conceptual errors often confuse students with integral problems. The reason for this failure can be a lack of mastery of concepts, weakness in applying the rules, problems in communicating the concepts, and no good knowledge of calculus skills (Sofronas et al. 2011). Poor understanding of the basic concepts can influence the choice of strategy and the way integral problems should be addressed (Shamsuddin, Mahlan, Umer, and Alias 2015). In addition, the knowledge gap in basic algebra leads to some mistakes and misconceptions among students when solving integral problems; so, understanding advanced arithmetic topics can be difficult for them (Muzangwa and Chifamba 2012). In particular, educational approaches often emphasize procedural aspects, neglecting theoretical dimensions added to students’ problems and misconceptions (Bezuidenhout 2001). Therefore, examining students’ misconceptions and errors can be an effective way to help address such errors in the techniques used for differential and integral calculus problems (Tall 2011; Pepper, Chasteen, Pollock, and Perkins 2012).

Error analysis should be based on sufficient evidence obtained from the observation and assessment of learners. Therefore, in this study, researchers attempted to observe the performance of engineering students in one of the Islamic Azad Universities, in Iran, to analyze their errors and misunderstandings of integration methods in the course of differential and integral calculus.

II. Theoretical and research background

Skill in the teaching profession lies in pursuing how learners learn and rooting out students’ mistakes. One of the existing classifications for student errors is dividing them into systematic and computational errors. Newman can be considered as one of the activists and pioneers of learning error analysis, especially in learning and solving mathematical problems (Newman 1977, as cited in Aghazadeh and Naghizadeh 2010). He examined students’ errors in solving problems, dividing them into systematic and computational errors. Systematic errors are known as misunderstandings. A misunderstanding is a wrong idea or theory resulting from misunderstanding something (Haghkhah and Davoudi 2021).

Awareness of students’ perceived concepts and misunderstandings is one of the basic elements of content pedagogical knowledge. This awareness helps the teacher in the educational design process and implementation; teachers can be prepared to prevent or correct misunderstandings (Bakhshalizadeh and Broojerdian 2018). Students bring their prior knowledge of math concepts to the classroom; then some of the relationships between concepts are created. They may be inaccurate or inappropriate in certain contexts. As these relationships are part of a network of related concepts, misunderstandings do not exist independently, depending on the conceptual framework and the network in mind. Therefore, informational (lecture) re-teaching is not effective in this regard. However, it is the change and correction of this framework that may lead to the correction of misunderstandings.

Changing the cognitive structure and conceptual frameworks to correct and eliminate misunderstandings can be regarded as one of the main goals; misunderstandings should be corrected through the cognitive and belief systems of the individual (Bakhshalizadeh and Broojerdian 2018). Newman can be considered one of the activists and pioneers of learning error analysis, especially in learning and solving mathematical problems (Aghazadeh and Naghizadeh 2010).

A learning error is a systematic or organized error that has a pattern, and the organization should be more concerned about it. Newman (1977, as cited in Aghazadeh and Naghizadeh 2010) studied students’ errors in solving fiction and non-fiction problems. His studies led to a model including five components for classifying learning errors. These include reading errors, comprehension errors, conversion errors, procedure errors, and decoding errors.

Since the focus of this study was integration and non-fiction content and its audience was also university students, not school ones, the proposed framework basis of Aghazadeh and Naghizadeh (2010) was used for the classification of learning errors. They have modified Newman’s framework and classified different types of errors in mental and written calculations. These two authors believe that learning errors in various fields can be due to misunderstanding, no understanding, lack of understanding, or misplaced understanding of facts from the four categories of facts, concepts, strategies, and procedures. In learning error analysis, it should be possible to attribute learning error to one of these variables based on the evidence collected. In fact-finding error, a person makes one or more fact-finding errors in operating.

In the case of a fact-finding error, a person makes one or more errors in operating. Operation error includes incorrect operations and incorrect algorithms. In the wrong operation, the learner selects the wrong operation to solve the problem or answer the question. For example, he/she uses multiplication or subtraction instead of addition; however, in the wrong algorithm for certain operations, the wrong steps are taken to solve the problem and answer the question. In the error related to concepts, one does not understand the meaning and intention of the problem or the data related to it. The third category, strategy error, occurs when the student’s answer does not conform to the correct algorithm.

Finally, there is the fourth category of procedure-related errors, which includes three models of errors. The first category is positioning errors. For example, the peripheral incorrectly uses the sequence of digits or, in the process of applying the algorithm, erroneously clears the components of the operation process. The second category consists of incorrect steps, where the student takes some steps that have nothing to do with the requested operation. The last category is the forgetting error step in which the student omits or confuses the steps needed to solve the problem. Numerous studies have been conducted on mathematical misunderstandings in different parts of the world and at different levels of education. For example, the correction of some misunderstandings related to the knowledge and beliefs of third-grade elementary students based on Schonfeld and Ganieh’s problem-solving framework in elementary school. Also, another study investigated the misunderstandings of primary school students in Turkey in the sixth grade when learning multiplication and multipliers and factors, providing some suggestions for solving learning problems and misunderstandings among students (Dogrucan, Soybas, and Sevgi 2020).

It is identified that misunderstandings in high school; acted as barriers to learning negative integers in seventh graders at an Indonesian middle school. Based on this, they designed a plan to overcome students’ misunderstandings in the educational program (Fuadiah, Suryadi, and Turmudi 2019). Another study in Iran, studied the misunderstanding in one of the mathematical concepts taught to high school students (Mohammadzadeh 2018, as cited in Haghkhah and Davoudi 2021). In this study, a mathematical instrument, with the aim of preventing and correcting students’ misunderstandings related to the concept of radians, was introduced. A mathematical instrument was introduced to prevent and correct students’ misunderstandings related to the concept of radians. Also, the role of animation in reducing conceptual errors in the field of trigonometric angles has been considered in high school trigonometry (Saffari 2017).

An active teaching method can reduce geometric misunderstandings in secondary school (Ebrahimi Sadrabadi and Mohammadnia 2018). A study in Iran has also discussed the role of teachers in correcting students’ math misunderstandings by examining, analyzing, and rooting out students’ conceptual errors in math lessons in order to find out why they were created and how they could be eliminated (Karimzadeh and Abbasloo 2017). In another study, the researchers concluded that in the field of mathematics and science, misunderstandings and errors were not made by chance (Smith, diSessa, and Roschelle 1994). In general, it seems that most of the studies conducted on mathematical misunderstandings have considered this issue from the perspective of teachers or students in school mathematics. So, the present study targeted the community of university students in the technical branch of engineering to study their misconceptions and mathematical errors in Mathematics 1 on the subject of integration methods.

III. Method

The present research was done based on the qualitative paradigm. Participants in this study included 40 male and female undergraduate students from the engineering fields of Azad University who had passed the Mathematics 1 course in the first semester of the 2021-2022 academic year. The study method was such that in six consecutive weeks, integration methods were taught through virtual training. In each session, their learning was evaluated during a test including three questions. Thus, the tests were answered by students in six three-question steps and during six stages. The questions of these tests, which were compiled with the cooperation of several academic experts, were confirmed in regard to content validity.

The exams were held virtually due to the COVID-19 pandemic, and students were required to send their answers via email to the professor during the exam. The tests, which were corrected with the help of two proofreaders, were analyzed and categorized using the framework of Aghazadeh and Naghizadeh (2010).

III.1. Research findings

This study aimed to analyze the errors of engineering students in one of the Islamic Azad universities, Iran, to answer the questions in relation to integration methods in the course ‘differential and integral calculus’. The proposed framework was used to analyze the data. Table 1 represents the findings obtained from data analysis.

Table 1

The average error of students in answering integral questions

Total number of students

Percentage error of facts

Concept error percentage

Strategic error percentage

Percentage error

40

79.89

68.42

82.23

95.89

As can be seen, the most and the least errors of students were related to procedure and concepts, respectively. It should also be noted that sometimes the exact demarcation between errors cannot be determined; in fact, a set of mistakes shared by students may be a non-empty set, and the mistakes may overlap in many places.

Facts error: According to the framework used in the classification of students’ errors, the first category was dedicated to the facts error. In such errors, the student makes a mistake in operating and uses the wrong operation or the wrong algorithm to respond. The following is an example of each:

According to Table 1, about 80% of students made this mistake when answering integral questions. For example, a student’s handwriting in Figure 1 indicates an incorrect operation error.

2pic

Figure 1

Indicates an incorrect operation error

As shown in the picture, the student has decided to use the fractional method in responding to question

. In the formula, although u and dv are chosen correctly,

But in , he made a mistake in the calculation. Thus, the result was not correct.

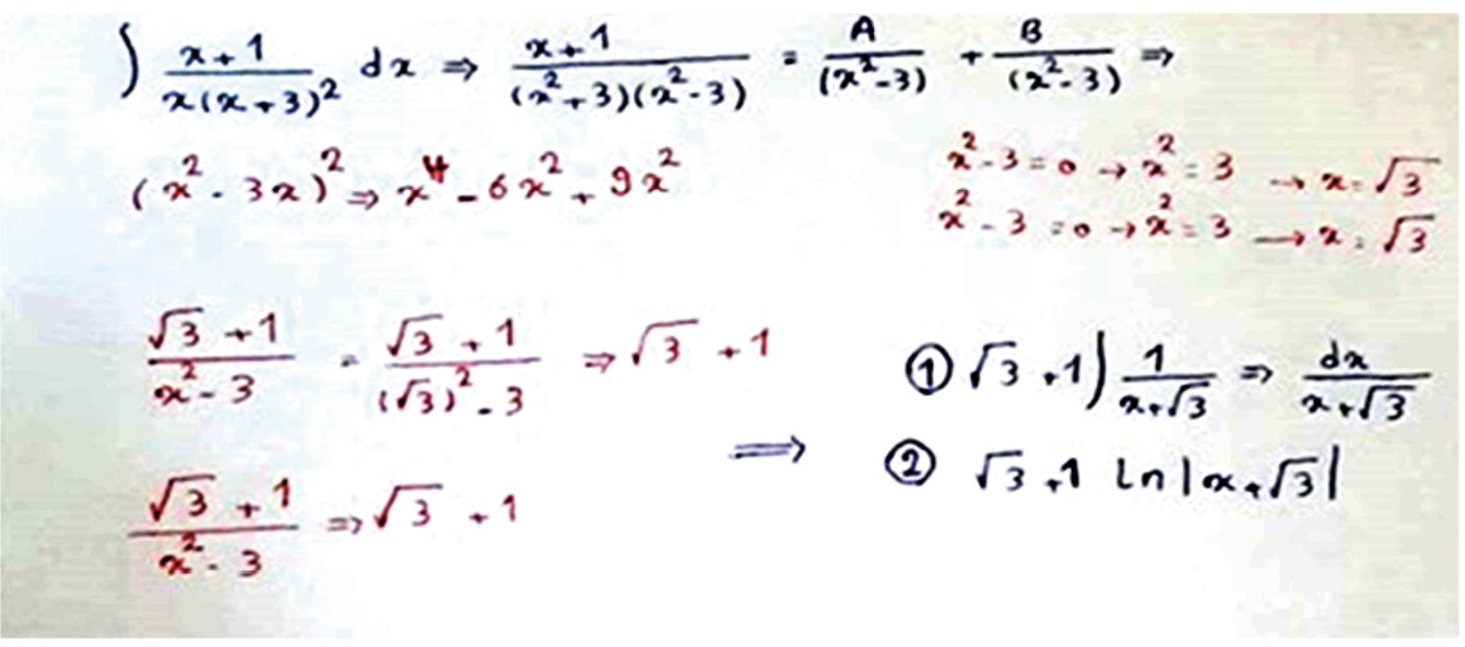
In other words, the student has chosen the right strategy, but there is a miscalculation of the wrong operation, which could be due to the error of facts. Figure 2 is another example of such an error.

Figure 2

Another example of a factual error related to an incorrect algorithm

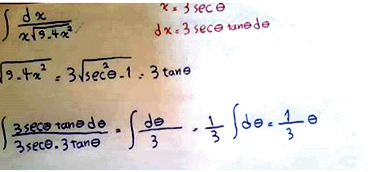
As can be seen in the image above, the student used the wrong strategy in response .

That is, instead of using the variable change u = a sin θ, the student has used variable change u = a sec θ.

Most students are confused or forget these two alternative variables. Students can factor the number 4 first and then use the change of the mentioned variable or first use the change of the following variable, then apply the change of the trigonometric substitution variable u = a sin θ.

Regardless of the two methods proposed above, x = 3 sec θ, dx = 3 sec θ tan θ dθ is considered; based on this variable change, the problem is solved.

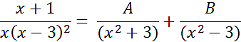
Conceptual error: In this type of error, students suffer from conceptual errors in problems. That is, they do not understand the meaning and intention of the problem or the data of the problem. Table 1 shows that 68.42% of students in concept calculations have error concepts. Figure 3 represents an example of this error.

Figure 3

An example of students’ error related to the concept error

As shown in Figure 3, students made a mistake in answering and recognizing algebraic alliances (first binomial union and conjugate union). This means the following,

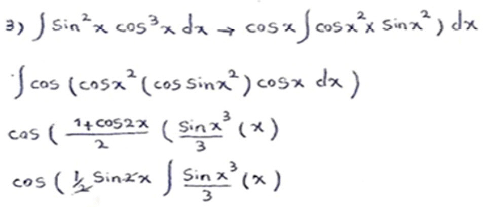
Strategic error: In this type of error, the person makes a strategic mistake; in other words, he/she makes a mistake in using the appropriate strategy. Table 1 shows that a significant number of students, i.e., 82.23%, made a strategic error in calculating the integral. Figure 4 shows an example of this error.

Figure 4

An example of a student’s error related to a strategic error

In such questions, where there are even and odd powers of trigonometric functions, students often make strategic and algebraic errors or errors in the procedure. This means that in solving the problems of trigonometric, even powers from the formulas are considered , .

In solving the problems of trigonometric, odd powers of the formulas are considered .

They make mistakes in solving problems of even and odd abilities.

For example, a student wrote:

As a result, his/her response led to erroneous results and complex solutions.

Figure 5

An example of a student’s error related to a procedure error
(Placement error)

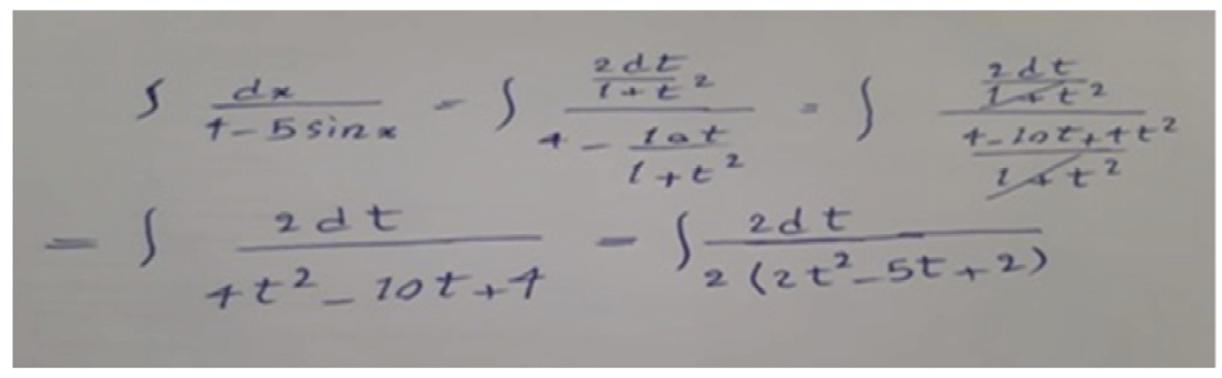
Operation error: Table 1 shows that most students’ errors in integral calculations were due to procedure errors. In fact, 95.85% of them had such errors. As mentioned earlier, this category includes three types of location error: incorrect step error and step forgetting error. Figures 5 to 7 refer to the examples of this error in students’ manuscripts.

As shown in Figure 5, the student should have used the change of variable method mentioned below to calculate .

But he used the following variable change:

Due to this change of the wrong variable, the wrong answer was obtained.

Figure 6 refers to another type of operating error.

Figure 6

An example of a student’s error related to a procedure error (step forgetting error)

The student for collection:

She/he should use the following variables:

Regarding this question, students make procedural or algebraic errors. Sometimes, they confuse the placement of the variables mentioned above.

This means that they make a mistake and put the formulas of and even dx in the wrong place.

Sometimes, they make mistakes in solving algebra and continue to feel exhausted and cannot finish the problem. For example, a student did the following in a question:

So, from this point on, he/she was not able to solve the problem and left it. This is because solving the integral is a method of trigonometric substitution. It must be first converted into an alliance; then a trigonometric substitute is used. In other words, as the next step, the student replaced trigonometry, thus forgetting this step and leaving the problem.

The last type of error, which is related to the procedure, is known as an incorrect step error; one example is shown in Figure 7.

Figure 7

An example of a student’s error related to a procedure error (incorrect steps)

In calculating , the student must use the variable change method.

In fact, we have , where ; we will have

While the student has taken the whole denominator u:

The student knows that he must use the variable change method. However, he has taken the wrong step in the phrase that should be used as a variable.

IV. Discussion

The goal of this study was to examine the common mistakes made by engineering students at Iranian universities when applying integral methods to solve calculus-based problems.

University-wide, all engineering students are required to take Mathematics 1, a prerequisite for more advanced courses including Mathematics 2, Differential Equations, Engineering Mathematics, and Statistics.

This study focuses on the investigation of student performance failures in integration because of the significance of the inherent character of this course in impacting a student’s capacity to pass other related courses. Since this course is being delivered online, especially during the COVID-19 epidemic, it is more important than ever to ensure that students are making progress through the material.

The purpose of this study was to identify mathematical misunderstandings held by students majoring in technical and engineering fields by administering a test with six difficulty levels. In terms of integration methods, analyses of these assessments indicate that behavioral and algebraic errors account for the vast majority of student mistakes, while conceptual mistakes account for the smallest proportion.

Because of this, most students’ difficulties in replying are not due to fundamental misconceptions of the subject or its data. Students are less likely to make fundamental mistakes in their answers since integration approaches are habitual and methodical. Of course, it is important to keep in mind that the focus of this research was on how students fared in a distance learning environment. As there are fewer possibilities for conceptual evaluation in this form of education, it has a chilling effect on the growth of scientific work by stifling the encouragement of original thought and reducing exposure to difficult class problem areas. And this is one of the most obvious drawbacks of online learning.

The majority of students’ errors in this study were traced back to problems with the response process or the implementation of the algorithm due to a lack of familiarity with its components, according to an analysis of the data (Agustyaningrum et al. 2018).

Some have begun to do things that have nothing to do with the requested action. The procedures necessary to complete the task are lost on some students, or they become confused along the way. The lack of opportunity to practice solving algebraic equations appears to be a major contributor to students’ difficulties in this area of mathematics. When pupils make a significant error, they tend to keep making the same mistakes in subsequent identical scenarios. In most cases, pupils have not had much experience with problem solving (Perkins and Simmons 1988). Furthermore, without a solid mathematical background and comprehension, students are less likely to be motivated to work through math issues, which in turn increases the likelihood of carelessness and failure when attempting to solve integrals.

The fact that mathematical ideas are organized in a hierarchy means that mastery of one idea requires familiarity with its predecessors; this is especially true in algebra. This allows educators to anticipate and analyze the types of errors their students may make as well as their students’ underlying thought processes (Son 2013). In high school, most students’ difficulties may be traced back to their inability to learn and retain mathematical information and their lack of grasp of algebraic relationships (Perkins and Simmons 1988). The classroom becomes a repository for the students’ prior mathematical knowledge. It is possible that the associations you make between ideas won’t hold up under closer scrutiny. This web of interconnected ideas means that misunderstandings cannot just pop up out of nowhere; rather, they’re the product of a particular set of preexisting assumptions and ways of thinking. Therefore, re-education through information (language) is ineffective in this regard, and errors in this framework can be remedied by altering it. Correcting and resolving misconceptions in this scenario entails altering an individual’s cognitive structures, conceptual frameworks, and indeed belief systems (same sources) (Smith, diSessa, and Roschelle 1994).

V. Conclusion

Understanding the contexts in which students are most likely to make mistakes is crucial when instructing them in the application of mathematical concepts. For the simple reason that where there is discussion of education there is also the possibility of certain lessons being half-learned or poorly taught. Having your expectations not met is a natural and necessary element of growing as an individual and learning something new. They typically make systematic mistakes due to their inflexible mental frameworks (Haghkhah and Davoudi 2021). However, the causes must be eliminated before they can be identified and used as a tool to test and correct a student’s prior learning (Holmes et al. 2013).

One of the cornerstones of content understanding is the ability to identify and address student misconceptions through careful lesson planning and delivery (Marks 1990) which has the potential to improve education. This is due to the fact that misunderstandings are intertwined with the mind’s underlying conceptual framework and contribute to how we interpret and apply novel ideas. These misunderstandings can be resolved or mitigated by the use of effective teaching methods, whether in-person or online (Shahvarani, Behzadi, and Moradi 2013). Student learning can be improved by providing a pedagogical framework that accounts for these common blunders. Making pupils self-aware and providing them with an environment in which they can learn from their mistakes are two further strategies for improving student performance. “It’s like, “Wow, look at what you’ve accomplished. Just how did you end yourself in this location?” Helpful The next move for the educator could be to introduce inconsistencies, make comparisons, or provide concrete examples of noncompliance. If the student does not fix the problem on their own, the teacher will ask for volunteers from the class (Alamolhodaei 2015).

If students make mistakes while doing math problems, they will not be able to figure out why their answers are wrong, recognize when they are encountering conceptual difficulties, or work to find solutions. Therefore, it is not enough to just have the ability to think; we also need metacognition; or the awareness that comes with knowing how to learn and think. Compared to cognitive processes and their regulation, metacognitive processes reveal more. Methods like asking and self-inquiry, providing a step-by-step explanation of solutions and proofs to problems and theorems, and analyzing mathematical difficulties in the context of group and community activities can help students strengthen their metacognitive skills (Legutko 2008).

The authors of this study claim that the necessity of taking online classes owing to the spread of the COVID-19 virus has led to widespread misunderstandings amongst the student population. This is due to the fact that the responsible educator is unable to swiftly and readily review the student’s draught in order to provide timely comments. However, without the teacher’s charisma, students in online classes are less likely to accomplish their homework or follow the rules and regulations established for the classroom.

Importantly, virtual evaluations lack the same degree of objectivity and precision as their in-person counterparts. Therefore, it is possible that if this study were repeated in traditional classroom settings, different findings would emerge.

The findings of this research may serve as a starting point for developing seminars and other forms of training for high school and college academics on the topic of integration methods and the mathematical misconceptions that surround them. It is also recommended that the content of the chapter titled “Mathematics Lesson 1” be revised with the goal of eliminating confusion and developing useful instructional resources. However, comparable inquiries are needed to explore the factors that contribute to confusion in other components of the major and in other academic disciplines and to develop effective strategies for preventing and rectifying confusion.

References

Aghazadeh, Moharram, and Moharram Naghizadeh. 2010. TIMSS Understanding, International Study of Students’ Academic Achievement in Mathematics and Science. [In Persian.] Tehran: Institute of Meraat, Schools that learn.

Agustyaningrum, N., A. M. Abadi, R. N. Sari, and A. Mahmudi. 2018 “An Analysis of Students’ Error in Solving Abstract Algebra Tasks.” Journal of Physics: Conference Series 1097, no. 1: 012118. https://doi.org/10.1088/1742-6596/1097/1/012118.

Alamolhodaei, Seyed Hassan. 2015. Principles of Mathematics Education. [In Persian.] 3rd ed. Mashhad: Ferdowsi University Press.

Bakhshalizadeh, Shahrnaz, and Nasser Broojerdian. 2018. “Identifying the Primary School Fourth-grade Students’ Common Misconceptions in the Content Area of Geometry and Measurement: A Comparison of their Performance with the Mean Performance at International Level.” [In Persian.] Educational Innovation 16, no. 4: 101-126

Bezuidenhout, Jan. 2001. “Limits and Continuity: Some Conceptions of First-year Students.” International Journal of Mathematical Education in Science and Technology  32, no. 4: 487-500. https://doi.org/10.1080/00207390010022590.

Dane, Arif, Ömer Faruk Çetin, Fatih Bas, and Meryem Özturan Sagirli. 2016. “A Conceptual and Procedural Research on the Hierarchical Structure of Mathematics Emerging in the Minds of University Students: An Example of Limit-Continuity-Integral-Derivative.” International Journal of Higher Education 5, no. 2: 82-91. http://dx.doi.org/10.5430/ijhe.v5n2p82.

Dogrucan, Harun, Danyal Soybas, and Sevim Sevgi. 2020. “The Investigation of Middle School Student Learning Difficulties and Concept Misunderstandings in Multipliers and Factorization.” Excellence in Education Journal 9, no. 3: 109-144. https://files.eric.ed.gov/fulltext/EJ1284653.pdf.

Ebrahimi Sadrabadi, Zahra, and Leila Mohammadnia. 2018. “Provide an Active Teaching Method to Reduce Eighth-grade Geometric Misunderstandings.” [In Persian.] Paper presented at The 16th Iranian Mathematics Education Conference., Jul 31- Aug 3, Mazandaran, Iran.

Fuadiah, Nyiayu Fshirza, Didi Suryadi, and Turmudi Turmudi. 2019. “Teaching and Learning Activities in Classroom and Their Impact on Student Misunderstanding: A Case Study on Negative Integers.” International Journal of Instruction 12, no. 1: 407-424. https://doi.org/10.29333/iji.2019.12127a.

Haghkhah, Sareh and Azar Davoudi. 2021. “Strategies for Preventing and Correcting Mathematical Misunderstandings (a Qualitative Study).” [In Persian.] Journal of Education in Basic Sciences 6, no. 21: 24-37.

Hashemi, Nourooz, Mohd Salleh Abu, Hamidreza Kashefi, Mahani Mokhtar, and Khadijeh Rahimi. 2015. “Designing Learning Strategy to Improve Undergraduate Students’ Problem-solving in Derivatives and Integrals: A Conceptual Framework.” Eurasia Journal of Mathematics, Science and Technology Education 11, no. 2: 227-238. doi: 10.12973/eurasia.2015.1318a.

Holmes, Vicki-Lynn, Chelsea Miedema, Lindsay Nieuwkoop, and Nicholas Haugen. 2013. “Data-Driven Intervention: Correcting Mathematics Students’ Misconceptions, not Mistakes.” The Mathematics Educator 23, no. 1: 24-44. file:///C:/Users/Lenovo/Downloads/ojsadmin,+Journal+manager,+43-23.1_Holmes%20(1).pdf.

Iyer, Parvati, Kalid Aziz, and David M. Ojcius. 2020. “Impact of COVID-19 on Dental Education in the United States.” Journal of Dental Education 84, no. 6: 718-722. https://doi.org/10.1002/jdd.12163.

Karimzadeh, Roya, and Mahdieh Abbasloo. 2017. “The Role of Teachers in Correcting Students’ Mathematical Misunderstandings.” [In Persian.] Paper presented at “The Provincial Scientific Research Conference on Strategies and Solutions to Improve Quality in Education.” Dec 22, 2017, Minab, Iran.

Legutko, Maria. 2008. “An Analysis of Students’ Mathematical Errors in the Teaching-Research Process.” In Handbook of Mathematics Teaching Research: Teacher Experiment -A Tool for Teacher-Researchers. edited by Bronisław Czarnocha, Poland: Drukarnia Cyfrowa KSERKOP. University of Rzeszów: 141-152.

Marks, Rick. 1990. “Pedagogical Content Knowledge: From a Mathematical Case to a Modified Conception.” Journal of Teacher Education 41, no. 3: 3-11. https://doi.org/10.1177/002248719004100302. https://journals.sagepub.com/doi/abs/10.1177/002248719004100302.

Muzangwa, Jonatan, and Peter Chifamba. 2012. “Analysis of Errors and Misconceptions in the Learning of Calculus by Undergraduate Students.” Acta Didactica Napocensia 5, no. 2: 1-10. https://eric.ed.gov/?id=EJ1054301.

Pepper, Rachel E., Stephanie V. Chasteen, Steven J. Pollock, and Katherine K. Perkins. 2012. “Observations on Student Difficulties with Mathematics in Upper-division Electricity and Magnetism.” Physical Review Special Topics - Physics Education Research 8, no. 1: 010111. 8 (1): 010111-1-15. https://doi.org/10.1103/PhysRevSTPER.8.010111. https://link.aps.org/doi/10.1103/PhysRevSTPER.8.010111.

Perkins, David. N., and Rebecca Simmons. 1988. “Patterns of Misunderstanding: An Integrative Model for Science, Math, and Programming.” Review of Educational Research 58, no. 3: 303-326. https://doi.org/10.3102/00346543058003303. https://journals.sagepub.com/doi/abs/10.3102/00346543058003303.

Saffari, Roya. 2017. “Investigating the Reduction of Students’ Conceptual Mistakes in the Topic of Trigonometry with Emphasis on the Role of Animations.” [In Persian.] Paper presented at “The first National Conference of Mathematics and Statistics.” Feb 16, 2017, Shiraz, Iran.

Şahin, Zülal, Arzu Aydogan Yenmez, and Ayhan Kursat Erbas. 2015. “Relational Understanding of the Derivative Concept through Mathematical Modeling: A Case Study.” Eurasia Journal of Mathematics, Science and Technology Education 11, no. 1: 177-188. doi: 10.12973/eurasia.2015.1149a.

Shahvarani, Ahmad, Mohammad Hasan Behzadi, and Abed Moradi. 2013. “Misconceptions of Students about Comparing Decimal Numbers from 6th, 7th and 8th Year of Girl Pishva Town.” [In Persian.] Quarterly Journal of Educational Psychology 5, no. 4: 61-75.

Shamsuddin, Maisurah, Siti Balqis Mahlan, Norazah Umar, and Fadzilawani Astifar Alias. 2015. “Mathematical Errors in Advanced Calculus: A Survey Among Engineering Students.” ESTEEM 11, no. 2: 37-44. https://ir.uitm.edu.my/id/eprint/15309.

Smith III, John P., Andrea A. DiSessa, and Jeremy Roschelle. 1994. “Misconceptions Reconceived: A Constructivist Analysis of Knowledge in Transition.” The Journal of the Learning Sciences 3, no. 2: 115-163. https://doi.org/10.1207/s15327809jls0302_1.

Sofronas, Kimberly S., Thomas C. DeFranco, Charles Vinsonhaler, Nicholas Gorgievski, Larissa Schroeder, and Chris Hamelin. 2011. “What Does It Mean for a Student to Understand the First-Year Calculus? Perspectives of 24 Experts.” The Journal of Mathematical Behavior 30, no. 2: 131-148. https://doi.org/https://doi.org/10.1016/j.jmathb.2011.02.001. https://www.sciencedirect.com/science/article/pii/S0732312311000058.

Son, Ji-Won. 2013. “How Preservice Teachers Interpret and Respond to Student Errors: Ratio and Proportion in Similar Rectangles.” Educational Studies in Mathematics 84, no. 1: 49-70. https://doi.org/10.1007/s10649-013-9475-5. https://doi.org/10.1007/s10649-013-9475-5.

Tadesse, Seble, and Worku Muluye. 2020. “The Impact of COVID-19 Pandemic on Education System in Developing Countries: A Review.” Open Journal of Social Sciences 8, no. 10: 159-170. DOI: 10.4236/jss.2020.810011 https://www.scirp.org/pdf/jss_2020102315145995.pdf.

Tall, David. 2011. “Looking for the Bigger Picture.” For the Learning of Mathematics 31, no. 2: 17-18. https://flm-journal.org/Articles/59094BCBBF38177DB99C3649BA79A8.pdf

Voon, Li Li, Nor Hazizah Julaihi, and Howe Eng Tang. 2017. “Misconceptions and Errors in Learning Integral Calculus.” Asian Journal of University Education (AJUE) 13, no. 1: 17-39. https://ir.uitm.edu.my/id/eprint/21914/1/AJ_VOON%20LI%20LI%20AJUE%2017.pdf.


[*] Fateme Moradi (corresponding author, dr.fateme.moradi@gmail.com), Ph.D., is an Assistant Professor and Researcher at, Yadegar-e-Imam Khomeini (RAH) Shahre Rey Branch, Islamic Azad University, Tehran, Iran.

Zahra Rahimi (za.rahimi@atu.ac.ir), Ph.D., is an assistant professor in the Department of Education at Allameh Tabataba’i University, Tehran, Iran.

Zohreh Nekouee (zohrehnekouee@gmail.com), Ph.D., is currently a Post-doctoral Researcher at the Department of PG Studies and Research in Mathematics, Kuvempu University, India.

More information about the authors is available at the end of this article.

About the authors

FATEME MORADI (corresponding author, dr.fateme.moradi@gmail.com) has a Ph.D. in mathematics education from the University of Islamic Azad University, Research Sciences Branch. She is an Assistant Professor and Researcher at, Yadegar-e-Imam Khomeini (RAH) Shahre Rey Branch, Islamic Azad University, Tehran, Iran. Her main research topics are education, mathematics, and, higher education. She has published several academic papers in indexed international journals related to education and mathematics education. She has also published books (mathematics 1, Differential Equation, Engineering Mathematics, Pre-University Mathematics, Mathematics 6, Fractal Geometry, Flash, and Mathematics 2).

ZAHRA RAHIMI (za.rahimi@atu.ac.ir) has a B.A. degree in teaching mathematics from Al-Zahra University, an M.A. degree in history and philosophy of education, and a Ph.D. degree in curriculum studies from Tarbiat Modares University. She was an official mathematics teacher in secondary schools for 20 years. Also, she worked in the Educational Research and Planning Organization in collaboration with the math group. The output of this collaboration is the compilation of 8 national math textbooks and the teacher’s guide for these books. Moreover, she was involved in compiling the national math curriculum. Since 2019, she has been working as an assistant professor in the Department of Education at Allameh Tabataba’i University. Her main field of study is mathematics education and curriculum development. Currently, she is a visiting scholar in the Mathematics Department at the University of Texas at Arlington, USA.

ZOHREH NEKOUEE (zohrehnekouee@gmail.com) is currently a Post-doctoral Researcher at the Department of PG Studies and Research in Mathematics, Kuvempu University, India. She is a sessional instructor at the Department of Mathematics, Faculty of Basic Sciences, Yadegar-e-Imam Khomeini (RAH) Shahre Rey Branch, Islamic Azad University, Iran, since 2005. She completed her Ph. D degree in Differential Geometry in 2019 at the University of Mazandaran, Iran. Her areas of interest include Mathematical Physics, Finsler Geometry, Black Holes, Modified Theories of Gravity, Economy, and Education. She has published several academic papers in indexed international journals related to Mathematical Physics.

 

Copyright

Copyright for this article is retained by the Publisher. It is an Open Access material that is free for full online access, download, storage, distribution, and or reuse in any medium only for non-commercial purposes and in compliance with any applicable copyright legislation, without prior permission from the Publisher or the author(s). In any case, proper acknowledgement of the original publication source must be made and any changes to the original work must be indicated clearly and in a manner that does not suggest the author’s and or Publisher’s endorsement whatsoever. Any other use of its content in any medium or format, now known or developed in the future, requires prior written permission of the copyright holder.